一文读懂什么是逻辑回归

逻辑回归介绍

逻辑回归(Logistic Regression)是一种经典的分类算法,尽管名字中带有 “回归”,但它本质上用于解决二分类问题(也可扩展到多分类)。

逻辑回归的本质是 “在线性回归的基础上,通过一个映射函数将输出转化为概率(从而实现对类别概率的预测)”,这个映射函数就是Sigmoid函数。

逻辑回归是机器学习中最基础的分类算法之一,核心是通过 Sigmoid 函数将线性输出转化为概率,结合交叉熵损失和梯度下降求解参数。

它虽简单,但在实际业务中(尤其是需要可解释性的场景)仍被广泛使用,也是理解更复杂分类模型(如神经网络)的基础。

一文读懂什么是逻辑回归

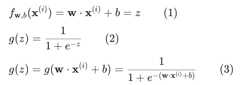
sigmoid函数

def sigmoid(z):     """     Compute the sigmoid of z      Args:         z (ndarray): A scalar, numpy array of any size.      Returns:         g (ndarray): sigmoid(z), with the same shape as z               """      g = 1 / (1 + np.exp(-z))         return g

一文读懂什么是逻辑回归

一文读懂什么是逻辑回归

逻辑回归模型

一文读懂什么是逻辑回归

一文读懂什么是逻辑回归

逻辑回归的决策边界

线性逻辑回归

根据sigmoid函数图象:z=0是中间位置,视为决策边界;那么为了得到决策边界的特征情况,我们假设:

  • 线性模型 z = w1 * x1 + w2 * x2 + b
  • 参数 w1=w2=1, b=03,那么x2 = -x1 + 3这条直线就是决策边界

如果特征x在这条线的右边,那么此逻辑回归则预测为1,反之则预测为0;(分为两类)

一文读懂什么是逻辑回归

多项式逻辑回归

多项式回归决策边界,我们假设:

  • 多项式模型:z = w1 * x1**2 + w2 * x2**2 + b
  • 参数:w1=w2=1, b=-1

如果特征x在圆的外面,那么此逻辑回归则预测为1,反之则预测为0;(分为两类)

一文读懂什么是逻辑回归

扩展:随着多项式的复杂度增加,还可以拟合更更多非线性的复杂情况一文读懂什么是逻辑回归

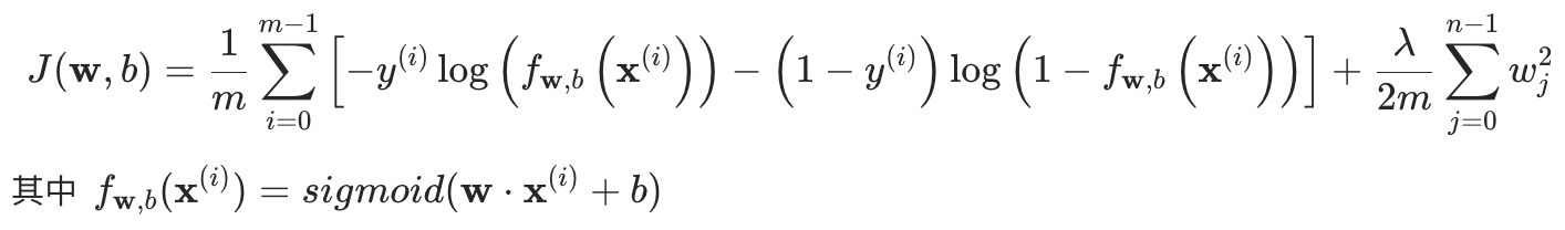
逻辑回归的损失函数

平方损失和交叉熵损失

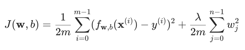
回顾下线性回归的损失函数(平方损失):

一文读懂什么是逻辑回归

平方误差损失函数不适用于逻辑回归模型:平方损失在逻辑回归中是 “非凸函数”(存在多个局部最优解),难以优化;

一文读懂什么是逻辑回归

所以我们需要一个新的损失函数,即交叉熵损失;交叉熵损失是 “凸函数”,可通过梯度下降高效找到全局最优

交叉熵源于信息论,我们暂时不做深入介绍,直接给出交叉熵损失函数公式:

一文读懂什么是逻辑回归

对数回顾

复习下对数函数的性质,以便理解为什么 交叉熵损失是 “凸函数”?

一文读懂什么是逻辑回归

一文读懂什么是逻辑回归

一文读懂什么是逻辑回归

简化交叉熵损失函数

一文读懂什么是逻辑回归

为什么要用这个函数来表示?来源自 最大释然估计(Maximum Likelihood),这里不做过多介绍。

一文读懂什么是逻辑回归

简化结果:

一文读懂什么是逻辑回归

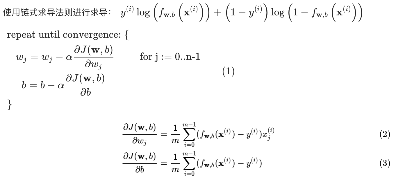
逻辑回归的梯度计算

自然对数求导公式:

一文读懂什么是逻辑回归

 链式求导法则:

一文读懂什么是逻辑回归

⚠️注意:

一文读懂什么是逻辑回归

过拟合问题

线性回归过拟合

一文读懂什么是逻辑回归

逻辑回归过拟合

一文读懂什么是逻辑回归

  • 欠拟合(underfit),存在高偏差(bias)
  • 泛化(generalization):希望我们的学习算法在训练集之外的数据上也能表现良好(预测准确)
  • 过拟合(overfit),存在高方差(variance) 

解决过拟合的办法

  • 特征选择:只选择部分最相关的特征(基于直觉intuition)进行训练;缺点是丢掉了部分可能有用的信息
  • 正则化:正则化是一种更温和的减少某些特征的影响,而无需做像测地消除它那样苛刻的事:
    • 鼓励学习算法缩小参数,而不是直接将参数设置为0(保留所有特征的同时避免让部分特征产生过大的影响)
    • 鼓励把 w1 ~ wn 变小,b不用变小 

正则化模型

It turns out that regularization is a way

to more gently reduce ths impacts of some of the features without doing something as harsh as eliminating it outright.

一文读懂什么是逻辑回归

关于正则化项的说明:

一文读懂什么是逻辑回归

带正则化项的损失函数

正则化线性回归

损失函数:

一文读懂什么是逻辑回归

梯度计算:

一文读懂什么是逻辑回归

 

分析梯度计算公式,由于alpha和lambda通常是很小的值,所以相当于在每次迭代之前把参数w缩小了一点点,这也就是正则化的工作原理,如下所示:

一文读懂什么是逻辑回归

正则化逻辑回归

损失函数:

一文读懂什么是逻辑回归

梯度计算:

一文读懂什么是逻辑回归

线性回归和逻辑回归正则化总结

一文读懂什么是逻辑回归

 

逻辑回归实战

模型选择

可视化训练数据,基于此数据选择线性逻辑回归模型

一文读懂什么是逻辑回归

关键代码实现

def sigmoid(z): 	g = 1 / (1 + np.exp(-z)) 	return g  def compute_cost(X, y, w, b, lambda_= 1): 	"""     Computes the cost over all examples     Args:       X : (ndarray Shape (m,n)) data, m examples by n features       y : (array_like Shape (m,)) target value        w : (array_like Shape (n,)) Values of parameters of the model             b : scalar Values of bias parameter of the model       lambda_: unused placeholder     Returns:       total_cost: (scalar)         cost      """  	m, n = X.shape 	total_cost = 0 	for i in range(m): 		f_wb_i = sigmoid(np.dot(X[i], w) + b) 		loss = -y[i] * np.log(f_wb_i) - (1 - y[i]) * np.log(1 - f_wb_i) 		total_cost += loss  	total_cost = total_cost / m 	return total_cost  def compute_gradient(X, y, w, b, lambda_=None):      """     Computes the gradient for logistic regression        Args:       X : (ndarray Shape (m,n)) variable such as house size        y : (array_like Shape (m,1)) actual value        w : (array_like Shape (n,1)) values of parameters of the model             b : (scalar)                 value of parameter of the model        lambda_: unused placeholder.     Returns       dj_dw: (array_like Shape (n,1)) The gradient of the cost w.r.t. the parameters w.        dj_db: (scalar)                The gradient of the cost w.r.t. the parameter b.      """     m, n = X.shape     dj_dw = np.zeros(n)     dj_db = 0.      for i in range(m):         f_wb_i = sigmoid(np.dot(X[i], w) + b)         diff = f_wb_i - y[i]         dj_db += diff         for j in range(n):             dj_dw[j] = dj_dw[j] + diff * X[i][j]          dj_db = dj_db / m     dj_dw = dj_dw / m              return dj_db, dj_dw  def gradient_descent(X, y, w_in, b_in, cost_function, gradient_function, alpha, num_iters, lambda_):      """     Performs batch gradient descent to learn theta. Updates theta by taking      num_iters gradient steps with learning rate alpha          Args:       X :    (array_like Shape (m, n)       y :    (array_like Shape (m,))       w_in : (array_like Shape (n,))  Initial values of parameters of the model       b_in : (scalar)                 Initial value of parameter of the model       cost_function:                  function to compute cost       alpha : (float)                 Learning rate       num_iters : (int)               number of iterations to run gradient descent       lambda_ (scalar, float)         regularization constant            Returns:       w : (array_like Shape (n,)) Updated values of parameters of the model after           running gradient descent       b : (scalar)                Updated value of parameter of the model after           running gradient descent     """          # number of training examples     m = len(X)          # An array to store cost J and w's at each iteration primarily for graphing later     J_history = []     w_history = []      w = copy.deepcopy(w_in)     b = b_in          for i in range(num_iters):         dj_db, dj_dw = gradient_function(X, y, w, b, lambda_)         w = w - alpha * dj_dw         b = b - alpha * dj_db         cost = cost_function(X, y, w, b, lambda_)         J_history.append(cost)         w_history.append(w)         if i % math.ceil(num_iters / 10) == 0:             print(f"{i:4d} cost: {cost:6f}, w: {w}, b: {b}")              return w, b, J_history, w_history #return w and J,w history for graphing   def predict(X, w, b):      m, n = X.shape        p = np.zeros(m)     for i in range(m):         f_wb = sigmoid(np.dot(X[i], w) + b)         p[i] = f_wb >= 0.5      return p 

结果展示

import numpy as np import matplotlib.pyplot as plt import matplotlib.font_manager as fm # 支持显示中文 font_path = '/System/Library/Fonts/STHeiti Light.ttc' custom_font = fm.FontProperties(fname=font_path) plt.rcParams["font.family"] = custom_font.get_name()  # 载入训练集 X_train, y_train = load_data("data/ex2data1.txt") # 训练模型 np.random.seed(1) intial_w = 0.01 * (np.random.rand(2).reshape(-1,1) - 0.5) initial_b = -8 iterations = 10000 alpha = 0.001 w_out, b_out, J_history,_ = gradient_descent(X_train ,y_train, initial_w, initial_b, compute_cost, compute_gradient, alpha, iterations, 0)  # 根据训练结果(w_out和b_out)计算决策边界 #f = w0*x0 + w1*x1 + b # x1 = -1 * (w0*x0 + b) / w1 plot_x = np.array([min(X_train[:, 0]), max(X_train[:, 0])]) plot_y = (-1. / w_out[1]) * (w_out[0] * plot_x + b_out) # 将训练数据分类 x0s_pos = [] x1s_pos = [] x0s_neg = [] x1s_neg = [] for i in range(len(X_train)):     x = X_train[i]     # print(x)     y_i = y_train[i]     if y_i == 1:         x0s_pos.append(x[0])         x1s_pos.append(x[1])     else:         x0s_neg.append(x[0])         x1s_neg.append(x[1])  # 绘图 plt.figure(figsize=(8, 6)) plt.scatter(x0s_pos, x1s_pos, marker='o', c='green', label="Admitted") plt.scatter(x0s_neg, x1s_neg, marker='x', c='red', label="Not admitted") plt.plot(plot_x, plot_y, lw=1, label="决策边界") plt.xlabel('Exam 1 score', fontsize=12) plt.ylabel('Exam 2 score', fontsize=12) plt.title('在二维平面上可视化分类模型的决策边界', fontsize=14) plt.legend(fontsize=12, loc='upper center') plt.grid(True) plt.show()   # 使用训练集计算预测准确率 p = predict(X_train, w_out, b_out) print('Train Accuracy: %f'%(np.mean(p == y_train) * 100))  # Train Accuracy: 92.000000 

一文读懂什么是逻辑回归

正则化逻辑回归实战

模型选择

可视化训练数据,基于此数据选择多项式逻辑回归模型

 

一文读懂什么是逻辑回归

关键代码实现

由于要拟合非线性决策边界,所以要增加特征的复杂度(训练数据里只有2个特征)。

特征映射函数

# 将输入特征 X1 和 X2 转换为六次多项式特征 # 这个函数常用于逻辑回归或支持向量机等模型中,通过增加特征的复杂度来拟合非线性决策边界。 def map_feature(X1, X2):     """     Feature mapping function to polynomial features         """     X1 = np.atleast_1d(X1)     X2 = np.atleast_1d(X2)     degree = 6     out = []     for i in range(1, degree+1):         for j in range(i + 1):             out.append((X1**(i-j) * (X2**j)))     return np.stack(out, axis=1)

正则化后的损失函数和梯度计算函数

def compute_cost_reg(X, y, w, b, lambda_ = 1):     """     Computes the cost over all examples     Args:       X : (array_like Shape (m,n)) data, m examples by n features       y : (array_like Shape (m,)) target value        w : (array_like Shape (n,)) Values of parameters of the model             b : (array_like Shape (n,)) Values of bias parameter of the model       lambda_ : (scalar, float)    Controls amount of regularization     Returns:       total_cost: (scalar)         cost      """     m, n = X.shape     # Calls the compute_cost function that you implemented above     cost_without_reg = compute_cost(X, y, w, b)           reg_cost = 0.     for j in range(n):         reg_cost += w[j]**2          # Add the regularization cost to get the total cost     total_cost = cost_without_reg + (lambda_/(2 * m)) * reg_cost      return total_cost  def compute_gradient_reg(X, y, w, b, lambda_ = 1):      """     Computes the gradient for linear regression        Args:       X : (ndarray Shape (m,n))   variable such as house size        y : (ndarray Shape (m,))    actual value        w : (ndarray Shape (n,))    values of parameters of the model             b : (scalar)                value of parameter of the model         lambda_ : (scalar,float)    regularization constant     Returns       dj_db: (scalar)             The gradient of the cost w.r.t. the parameter b.        dj_dw: (ndarray Shape (n,)) The gradient of the cost w.r.t. the parameters w.       """     m, n = X.shape          dj_db, dj_dw = compute_gradient(X, y, w, b)      # Add the regularization      for j in range(n):         dj_dw[j] += (lambda_ / m) * w[j]              return dj_db, dj_dw 

结果展示

import numpy as np import matplotlib.pyplot as plt import matplotlib.font_manager as fm # 支持显示中文 font_path = '/System/Library/Fonts/STHeiti Light.ttc' custom_font = fm.FontProperties(fname=font_path) plt.rcParams["font.family"] = custom_font.get_name()  # 载入训练集 X_train, y_train = load_data("data/ex2data2.txt") # 通过增加特征的复杂度来拟合非线性决策边界 X_mapped = map_feature(X_train[:, 0], X_train[:, 1]) print("Original shape of data:", X_train.shape) print("Shape after feature mapping:", X_mapped.shape)  # 训练模型 np.random.seed(1) initial_w = np.random.rand(X_mapped.shape[1])-0.5 initial_b = 1. # Set regularization parameter lambda_ to 1 (you can try varying this) lambda_ = 0.5 iterations = 10000 alpha = 0.01 w_out, b_out, J_history, _ = gradient_descent(X_mapped, y_train, initial_w, initial_b, compute_cost_reg, compute_gradient_reg, alpha, iterations, lambda_)  # 根据训练结果(w_out和b_out)计算决策边界 # - 创建网格点 u 和 v 覆盖特征空间 u = np.linspace(-1, 1.5, 50) v = np.linspace(-1, 1.5, 50) # - 计算每个网格点处的预测概率 z z = np.zeros((len(u), len(v))) # Evaluate z = theta*x over the grid for i in range(len(u)):     for j in range(len(v)):         z[i,j] = sig(np.dot(map_feature(u[i], v[j]), w_out) + b_out) # - 转置 z 是必要的,因为contour函数期望的输入格式与我们的计算顺序不一致       z = z.T  # 分类 x0s_pos = [] x1s_pos = [] x0s_neg = [] x1s_neg = [] for i in range(len(X_train)):     x = X_train[i]     # print(x)     y_i = y_train[i]     if y_i == 1:         x0s_pos.append(x[0])         x1s_pos.append(x[1])     else:         x0s_neg.append(x[0])         x1s_neg.append(x[1])  # 绘图 plt.figure(figsize=(8, 6)) plt.scatter(x0s_pos, x1s_pos, marker='o', c='black', label="y=1") plt.scatter(x0s_neg, x1s_neg, marker='x', c='orange', label="y=0") # 绘制决策边界(等高线) plt.contour(u,v,z, levels = [0.5], colors="green") # 创建虚拟线条用于图例(颜色和线型需与等高线一致) plt.plot([], [], color='green', label="决策边界")  plt.xlabel('Test 1', fontsize=12) plt.ylabel('Test 2', fontsize=12) plt.title('正则化逻辑回归模型分类效果可视化(lambda=0.5)', fontsize=14) # plt.legend(fontsize=12, loc='upper center') plt.legend(fontsize=12) plt.grid(True) plt.show()   #Compute accuracy on the training set p = predict(X_mapped, w_out, b_out) print('Train Accuracy: %f'%(np.mean(p == y_train) * 100)) # Train Accuracy: 83.050847 

一文读懂什么是逻辑回归

正则化效果对比

正则化对损失和决策边界的影响

一文读懂什么是逻辑回归

一文读懂什么是逻辑回归

正则化项lambda参数大小对决策边界的影响

一文读懂什么是逻辑回归

 

参考

吴恩达团队在Coursera开设的机器学习课程:https://www.coursera.org/specializations/machine-learning-introduction

在B站学习:https://www.bilibili.com/video/BV1Pa411X76s 

 

发表评论

评论已关闭。

相关文章